Study 교재 : http://www.boostcourse.org/ai251
CH3. Least Square
Part1. Least Squares Problem 소개
Part2. Least Squares와 그 기하학적 의미
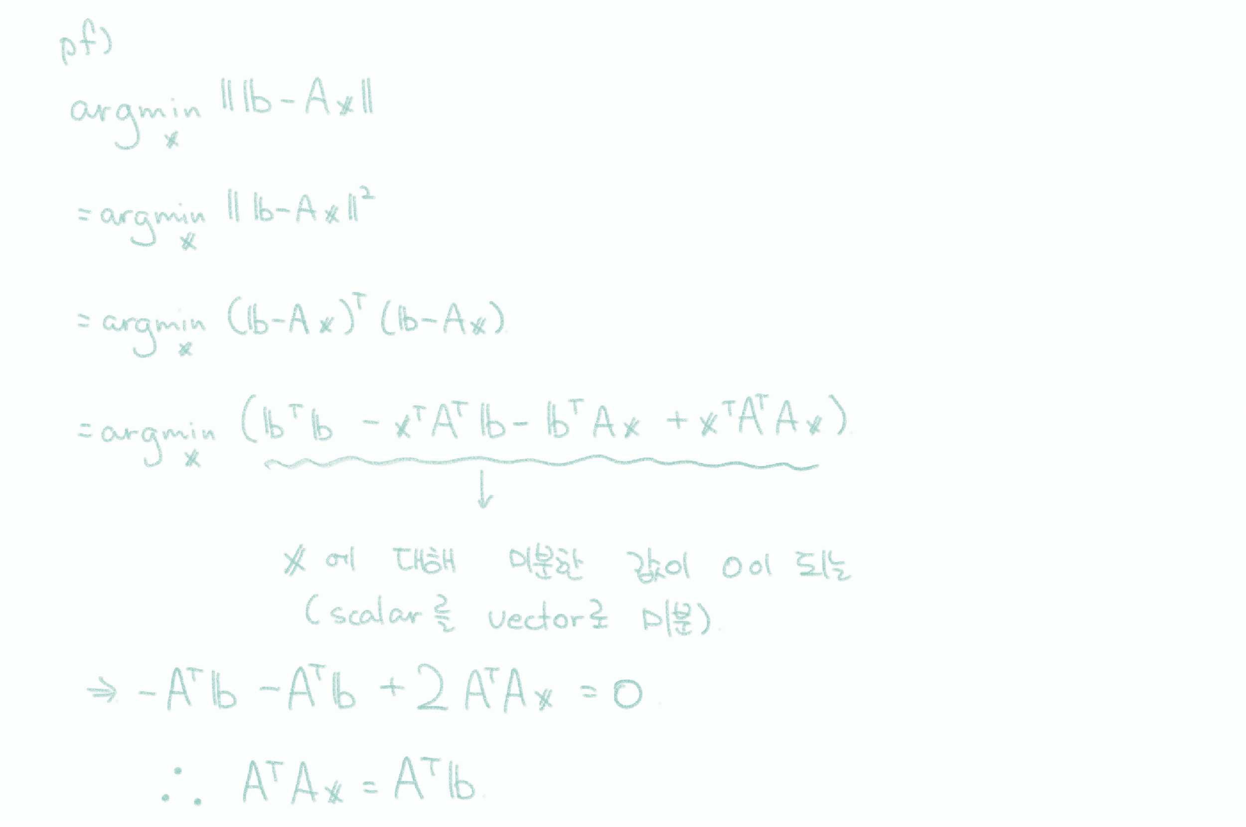
Part3. 정규방정식 (Normal Equation)


'선형대수' 카테고리의 다른 글
| Upstage AI Lab 2기 선형대수 스터디 #03-2 (2024_03_10) (0) | 2024.03.09 | 
|---|---|
| Upstage AI Lab 2기 선형대수 스터디 #03-1 (2024_03_10) (0) | 2024.03.09 | 
| CH. 4-4 행렬식의 응용 (0) | 2022.11.29 | 
| CH4-3. 크래머 공식 (0) | 2022.11.29 | 
| CH.4-2 여인자 전개와 행렬식의 응용 (0) | 2022.11.25 |