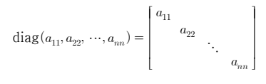
대각선행렬(diagonal matrix) : 주대각선성분 이외의 모든 성분이 0인 정사각행렬


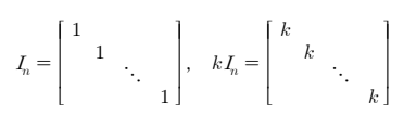
단위행렬(identity matrix): 주대각선성분이 모두 1인 행렬 In
스칼라행렬(scalar matrix): kIn


대칭행렬과 반대칭행렬








'선형대수' 카테고리의 다른 글
| CH4-1. 행렬식의 정의와 기본정리(1) (0) | 2022.11.18 | 
|---|---|
| CH3. 연습문제 (0) | 2022.11.18 | 
| CH3. 행렬과 행렬대수 (2) (0) | 2022.11.18 | 
| 선형대수 목차 (0) | 2022.11.18 | 
| CH3. 행렬과 행렬대수 (1) (0) | 2022.11.18 |